針對袋裝水泥裝車半自動化問題,設計一款全自動裝車機。首先,根據袋裝水泥車間生產狀況,確定水泥裝車方案,即采用抽屜式逐層裝車原理,利用SolidWorks創建裝車機三維模型;其次,為使水泥包快速準確地到達指定位置,針對撥板機構中的分撥板及導柱進行受力分析,建立其力學模型,推導出應力公式;后,通過ANSYS有限元軟件進行分撥板的力學仿真,為后續的優化設計提供依據。
0 引言
在當代建筑行業中,水泥占據著很重要的地位,而在水泥的生產運輸行業,袋裝水泥的生產又占據了很大的比例。目前,現有的袋裝水泥裝車方法普遍采用的是一種半自動化裝車機,即輸送帶傳輸外加人工碼袋,共同實現袋裝水泥的裝車工作[1-2]。這種方式由于存在成本高、效率低、勞動強度大等問題,無法和當代的包裝機所匹配,此外,這種裝車環境惡劣,對裝載工人的健康以及空氣質量造成很大的負面影響。因此,設計一款好的自動袋裝水泥裝車機是至關重要的,以便降低成本、提高物流自動化程度。
1 自動裝車機的整體方案
1.1 裝車機整體方案設計
根據水泥廠的水泥生產流程及目前市場的主要裝車機型,袋裝水泥通過灌裝機包裝好后由輸送帶傳輸,一方面輸送到碼垛機處,進行碼垛存倉;另一方面直接輸送到貨車車廂內,由人工碼垛進行裝車。
綜合碼垛機和直接裝車2種流程方式[3],本文提出一種基于抽屜式原理的自動裝車機。其主要結構如圖1所示。其工作原理為:該裝車機位于二樓平臺軌道上,一樓通道上停有待裝卡車,行走小車帶動整個裝車機行駛到卡車上方,碼垛機構由提升裝置下落到車廂上;通過包裝機包裝好的袋裝水泥經傳送帶運輸到水平輸送帶上,然后經傾斜輸送帶傳送到過渡輸送帶上,由過渡輸送帶進行姿態調整傳送到碼垛機構上,碼垛機構包含撥板機構、抽板機構和推板機構,碼垛機構碼放好一層后,提升機構帶動整個裝置向上1個位移,以此往復循環,直至當前車位所裝載層數達到要求,移動小車帶動整個裝車機后移,循環上述裝車流程,直至裝載完成。

圖1 袋裝水泥裝車機的總體結構
1.2 碼垛機構主要機構及其傳動方案設計
碼垛機構是整個裝車機的關鍵結構,是保證裝車效率與質量的重要部分。基于抽屜式原理,本裝車碼垛機構主要采用抽板收集袋裝物料,達到預設數量后統一落包的思想。其主要原理如圖2所示,物料由過渡輸送帶輸送到抽板上,撥板左右推動料包進行位置擺放,終抽板向后平移,推板機構立起擋包,統一碼放料包。

圖2 碼垛原理
碼垛機構中的主要傳動如圖3所示,撥板由同步帶驅動左右移動,抽板由同步帶驅動前后移動。兩者協同作業,完成碼垛過程的擺包和落包過程。

圖3 碼垛傳動方案
2 撥板機構的設計
撥板機構是碼垛機構中的關鍵結構,是保證料包整齊排列的重要執行機構,主要包含撥板、法蘭滑塊和導軌,其主要機械結構如圖4所示。根據設計要求,抽板底板尺寸寬為2 200 mm,長為1 300 mm,底板為斜坡狀,與水平面夾角為6°。撥板通過導柱的法蘭滑塊相連,可在導柱上滑動,撥板2個頂角通過同步帶壓板及連接裝置與同步帶相連,在同步帶的驅動下左右移動,完成擺包動作。撥板與法蘭滑塊相連,安裝在直線導軌上,直線導軌設計尺寸為φ=40 mm,長度l=1 500 mm,安裝在主框架上。

圖4 撥板機構
為方便后續計算分析,簡化板上連接小孔,撥板的結構如圖5所示。其中板厚t=10 mm,其余詳細尺寸參數如表1所示。

圖5 撥板結構示意

表1 撥板尺寸
3 撥板機構的力學分析與仿真
3.1 撥板的力學分析
當袋裝料包經輸送帶運送到抽板上,來料2包或者3包時,撥板開始進行分撥料包。在此勻速運動過程中,對撥板進行受力分析[4],如圖6所示。圖6a中,撥板的下部分陰影區域表示受到料包的阻力,方向垂直界面向里,用勻強壓力P表示;左右2個上角為驅動力作用區域,驅動力方向垂直直面向外,用F1和F2表示。

圖6 撥板受力示意
針對圖6a在豎直方向受力所在平面內力矩平衡為

(1)
lFNi,O(i=1,2)表示力到板質心的距離。
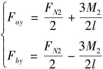
針對圖6b中,相對于兩孔所在水平面,根據力矩平衡則有

F·h+
(f·y)=M
(2)
F為2個上角驅動力F1和F2的和;
(f·y)為料包阻力力矩的積分;M為2根導柱對撥板水平力矩M1和M2的和(力矩的方向為右手法則拇指的指向)。
雖然板的下邊界與水平面有1個夾角,但是阻力和驅動力相對于x軸的力矩相等,故M1與M2的大小相同,即
M1=M 2
(3)
由式(2)與式(3)聯立,即可得到板大端的水平力矩M2;由力的傳導特性,可得撥板的大應力在圓孔與驅動力的連線附近,此處不再推導其大應力公式。
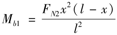
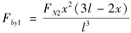
3.2 撥板導柱的力學分析
由于撥板的質心靠近大端處,故前端導柱所承受的力較大,此處針對大端處所對應的導柱進行力學分析,如圖7所示。

圖7 導柱受力分析
由材料力學[5]知,導柱受力可等價為圖7b和圖7c的疊加,此問題為靜不定問題,當只受壓力時,如圖7b所示,由變形協調條件可得

(4)
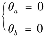
根據疊加法可知:
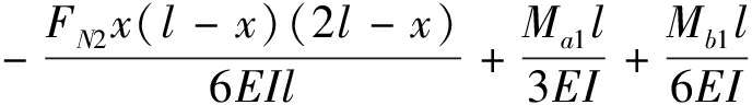
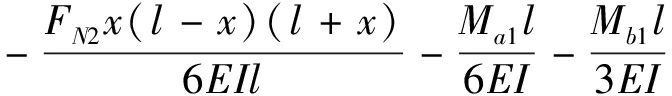
θa=θa,FN2+θa,Ma1+θa,Mb1=

(5)
θb=θb,FN2+θb,Ma1+θb,Mb1=

(6)
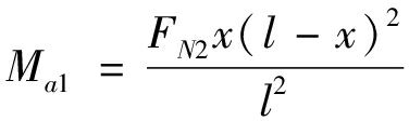
Ma1,Mb1分別為a端和b端的彎矩。聯立求解式(4)~式(6),得支點處的彎矩大小為:

(7)

(8)
由平衡方程得a端與b端的垂直支持反力大小為

(9)

(10)
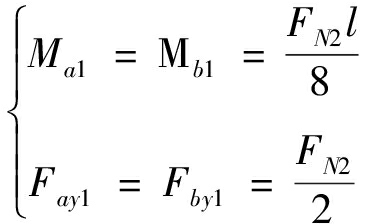
當撥板運行到導柱中點部位時,即

其對導柱的影響大,此時

(11)
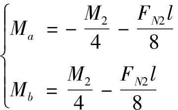
同理,當只受如圖7c所示的彎矩時,其a與b支點處力和彎矩的大小分別為

(12)
考慮力和力矩的方向等問題,當兩者同時作用時,支點a與b處總力和彎矩為:

(13)

(14)
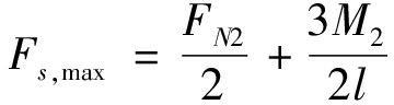
對整個導柱上的內力進行分析,由材料力學中剪力與彎矩圖,可得大剪力在導柱的左半部分,大彎矩在支點a處,其大值分別為:

(15)

(16)
則a處大彎曲正應力為

(17)
Wz為導柱的抗彎截面系數。
3.3 基于ANSYS的仿真分析
為驗證撥板機構的應力應變情況,采用ANSYS Workbench對撥板機構的受力進行仿真分析。撥板材料為Q235,撥板導柱為45號鋼,其材料屬性[6]如表2和表3所示。
表2 撥板的材料參數

表3 撥板導柱的材料參數

當撥板在導柱中點時,對模型施加載荷,由于設計大推包數為3包,每包質量為50 kg,水泥包與底板的摩擦因數為0.25,即阻力f為375 N,水泥包厚度約150 mm,即3包水泥的阻力均勻作用在撥板下端高為150 mm的矩形區域,設置載荷時選用類型為:Pressure(均勻壓力)大小為1.78×10-3 MPa;撥板2個上角驅動力,此處受壓面積為150 mm×80 mm,設置Pressure為1.56×10-3 MPa,其余設置此處不再詳述。通過仿真運行,得到撥板在導柱中點時的應力應變云圖,分別如圖8和圖9所示。

圖8 撥板機構變形云圖

圖9 撥板機構應力云圖
根據圖8撥板機構的變形云圖可知,導柱上的大變形發生在中點位置,大值約為0.239 mm;撥板的大變形發生在驅動力作用的2個角部以及下部中點位置,角部大變形為0.359 mm,下部中點位置大變形為0.319 mm。而對于大應力部分,由圖9可知,導柱上主要出現在左端連接處,大值為10.912 MPa,撥板上的大應力出現在撥板連接孔與驅動力所在點的連線上,大值為12.502 MPa。
導柱的直徑為40 mm,則其抗彎截面系數Wz=6.28×10-6 m3,將撥板和導柱尺寸數據及上述驅動參數代入到式(17)中,終得導柱的大應力為8.833 MPa。
對撥板機構的仿真數據進行分析,發現理論值和仿真值接近,誤差產生因素可能為導柱所受彎矩比分析的還要復雜;其次建模計算是按大彎曲正應力,因此比綜合性仿真的值略小。綜合考慮,說明理論建模的正確性。后通過仿真云圖發現機構的薄弱環節,為后續的優化設計提供了依據。
4 結束語
首先,通過分析現有袋裝水泥生產及裝車流程,采用模塊化設計思想,建立了全自動裝車機模型,并對主要的碼垛機構中的撥板機構進行設計。通過對正常工況下的撥板機構進行力學建模,分別對撥板和撥板導柱進行詳細的力學求解,推導大應力應變公式,并預估其所在位置。后通過ANSYS Workbench對其工作時的變形及應力分布情況進行仿真,驗證了模型的正確性的同時,也為后續的優化設計提供了方向。
軟件開發角度保護山東PLC變頻控制柜的內部系統
大家都知道,PLC控制系統對于 山東PLC變頻控制柜 來說是很重要的,PLC控制柜的功能的實現也依靠內部系統來發揮作用,所以保護好PLC控制系統就顯得相當重要,下面PLC控制柜廠家從軟件開
TIME:2024-11-20
濟南禾邦
統一客戶咨詢電話
156-1012-7579
官方網址:http://www.5273go.com/
聯系地址:濟南市歷城區張馬屯小學南200米